-
20 2026.04
阅读:
生物质活性炭吸附VOCs的研究进展
当前,我国大气呈现以细颗粒物(PM2.5)和臭氧为主要成分的区域性复合型污染特征,挥发性有机物(volatile organic compounds,VOCs)是其大量排放的重要根源[1-3]。我国VOCs年排放量高达2000万吨,工业源VOCs年排放量呈递增趋势[4]。在VOCs末端治理技术中[5-9],吸附法具有技术成熟、净化效率高、适用范围广、能耗小、运行费用低等优势,可单独或与其他技术组合(吸附浓缩-冷凝回收[10-11]、吸附浓缩-催化氧化/燃烧[12-14]等)使用,具有广泛应用。
吸附净化技术的核心是吸附剂。活性炭作为一种广谱吸附材料,其比表面积大、孔隙发达、孔径分布广,是VOCs净化最常用的吸附剂。与此同时,工业有机废气来源广、VOCs种类繁杂、分子尺寸跨度大[15],给活性炭净化技术带来挑战。研究表明,吸附过程中吸附剂的孔径需与吸附质的几何尺寸相匹配[16-18],才能实现最佳吸附性能。此外,活性炭表面极性官能团数量与其对极性有机物的吸附能力呈正相关关系[19]。因此,通过对活性炭孔隙结构的精细化调控以及对表面化学特性的选择性优化,能够有效提升其对广谱VOCs的吸附性能,是解决复杂废气净化需求的关键技术路径。
在活性炭的生产领域,传统煤基活性炭长期以来占据着重要地位,生物质基活性炭因其原料来源广泛、可再生性强、成本低廉及潜在的高吸附性能,有望成为替代煤基活性炭的重要选择。生物质活性炭,即以植物、动物、污泥等生物质为原料制备的活性炭,在当前研究中作为区别于传统煤质和木质活性炭的新兴类别而受到关注。生物质原料如农业废弃物、林业副产品等,通过炭化和活化可制备出具有多孔结构和丰富官能团的吸附材料,不仅具有优异的广谱吸附能力,还能实现废弃资源的高值化利用。
本文聚焦于工业源VOCs的排放特征及分子物性,系统探讨了活性炭结构与吸附性能的构效关系,梳理了生物质基活性炭在制备工艺、改性方法及实际应用中的研究进展,分析了当前生物质基活性炭在VOCs吸附领域的瓶颈与挑战,在此基础上提出了未来研究的方向,以期为推动生物质基活性炭在VOCs治理中的广泛应用提供理论支持和技术参考。
1 工业有机废气组成特征及VOCs物性
工业源VOCs来源广泛、成分复杂。厘清工业有机废气的组成特征和常见VOCs的理化性质,是探讨活性炭组成结构特征及吸附性能、进而优化设计活性炭吸附剂的基础。
1.1 常见工业源VOCs组成特征
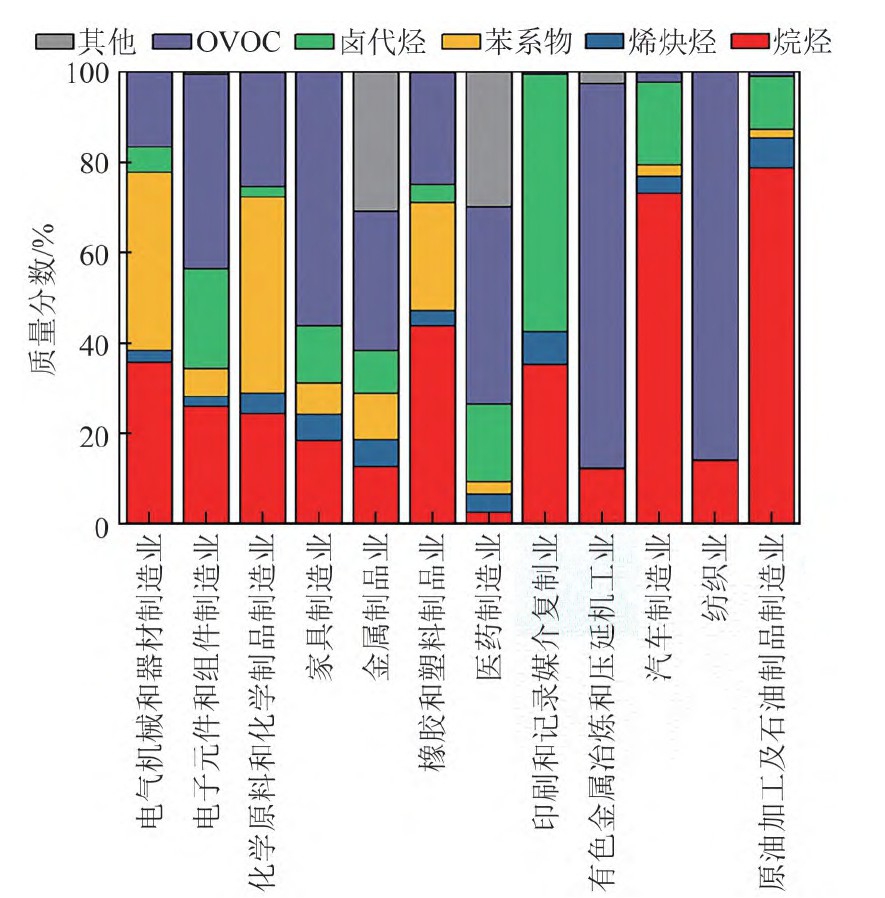
工业源VOCs排放量大,且具有来源广、种类多、分子尺寸跨度大的特点[15],如图1所示。废气中既含有非极性或弱极性的烃类和芳香烃类化合物,也有极性的醇类、醛/酮类、脂肪酸类、卤代烃类化合物。
图1典型行业VOCs成分组成总体特征[15]

不同行业排放的VOCs在组成、性质上存在较大的差异,如石化企业排放的VOCs,烷烃占比最高[62.4%~75.4%(质量分数)],芳香族化合物的质量分数仅在6.1%~7.7%。在涂装印刷行业,生产工艺、含VOCs原辅材料会影响VOCs的组成。刘文文等[20]研究指出,京津冀地区包装印刷企业排放的VOCs以含氧有机化合物(OVOCs)为主,占比均在36.0%以上,其次为卤代烃;与长沙市排放的OVOCs占74.10%、烷烃占10.50%[21]以及广西市排放的OVOCs占27.51%、烷烃占55.37%[22]接近。
即使相同行业,在国内的不同地区排放VOCs的组成特征也存在差异,表现在主要排放种类相似,但构成比率上有着显著的差异。Xie等[23]发现,石油化工行业不同地区的两套芳烃抽提装置在芳香烃和烯烃的检测浓度以及检测到的氯化挥发性有机化合物(CVOCs)类型方面存在显著差异;而涂装行业油墨种类、印刷工艺、治理水平等都会导致VOCs等组成存在显著差异。在汽车制造行业,广西市以芳香烃占比最高(32.25%),其次为OVOCs、烷烃、卤代烃[22],荆州排放的卤代烃和烷烃的占比分别为70.20%和17.00%[24],其比例差异显著,可能是由于所用油漆和生产工艺的差异。
1.2 常见工业源VOCs组分的性质
从VOCs组成特征可以看出,工业源VOCs多由OVOCs、烷烃、苯系物、卤代烃等多组分混合,VOCs因自身的物性差异如分子结构、极性、沸点等性质对吸附过程有着显著的影响。
表1总结了部分常见VOCs的物性,包括沸点、VOC分子尺寸(动力学直径)与极性(偶极矩),这些都是影响吸附性能的重要因素[36]。例如,小直径的VOCs分子能够更容易地进入吸附位置,而较大尺寸的VOCs分子则难以进入较小的孔隙。Wu等[37]和Rajabi等[38]发现VOCs在吸附质上的吸附能力随分子直径的增大呈下降趋势。即使相同分子式的邻、间、对二甲苯,吸附量也存在差异,甲基侧链的位置不同,更简单的分子形状使对二甲苯优先通过中孔进入吸附剂的活性位点。
在多组分吸附过程中,会出现不同VOC分子竞争吸附的现象[39]。Hsieh等[40]对比了两种VOCs分子在活性炭上的吸附特性,指出VOC分子基本特征,如尺寸、结构及极性,会对其在活性炭上的吸附行为造成极大影响,其中分子极性的差异在决定吸附效率上至关重要。Jia等[41]比较在同一吸附剂上的乙醇、正己烷和环己烷的动态吸附性能,并将穿透时间与极化率、分子量和饱和蒸汽压进行拟合,发现饱和蒸汽压和分子量的相关系数更高。Yu等[42]发现活性炭对各种污染物的共吸附比单组分吸附具有更好的总吸附能力。与单组分吸附相比,多组分吸附过程中的高浓度环境促进了吸附剂表面的竞争性吸附,从而使得总的吸附能力得到提升。Huang等[39]认为相对饱和蒸汽压力和浓度会影响挥发性有机化合物的总吸附能力,相对饱和蒸汽压力越低,挥发性有机化合物浓度越高,总吸附能力就越高。
表1工业源有机废气典型VOCs组分的性质

注:1deb=3.33564×10-30C·m。
相较于实验室研究,实际废气排放特往往更加复杂,实际排放中的VOC分子尺度跨度大,动力学直径从0.11~0.68nm均有分布。在实际多组分VOCs治理过程中,吸附剂需要满足对于不同极性、分子动力学直径和其他理化特性的VOC都有良好的吸附效果,也就是具有良好的VOCs广谱吸附性能。
2 活性炭组成结构与其对VOCs吸附性能的关系
活性炭对VOCs的吸附性能主要由其比表面积、孔隙结构及表面化学特性共同决定。本文从微观机制入手,系统梳理孔径分布、表面官能团及几何构型对吸附效率和选择性的影响,以便明确吸附过程中的关键控制因素。
2.1 比表面积
对活性炭而言,具有大的比表面积通常也具有大的吸附量。Chen等[43]分别经K2CO3、KOH和ZnCl2活化制备了3种活性炭吸附丙酮,拟合结果发现室温下丙酮的饱和吸附量与比表面积的变化趋势一致。Zhuang等[44]通过球磨处理,提升了活性炭的比表面积,丙酮吸附性能(304mg/g)是处理前的1.7倍。
为了增加活性炭的比表面积,一般通过扩孔、造孔的方式,常用的改性方法有热、酸、碱、微波、臭氧、等离子体、浸渍等[45-46]。热解炭化料的比表面积随着热解温度的升高而增加,这是因为热解温度的升高会打开堵塞的微孔,并在现有的孔中产生更多的缺陷[47-50]。适当的酸处理可以有效地扩大活性炭的表面积,但过高浓度的酸可能对孔造成破坏或塌陷,从而减少活性炭的表面积。同样,碱处理也可以有效地扩大一些活性炭的表面积,以提高VOCs吸附量。例如,Li等[51]碱改性的椰壳活性炭具有更大的比表面积,更高的邻二甲苯吸附量,在使用NH3H2O和H2SO4进行改性后,吸附量分别增加了26.5%和减少了21.6%。
2.2 孔结构
为了研究孔径分布对VOCs吸附的影响,有必要消除表面官能团和比表面积的影响。Lillo-Ródenas等[52]通过热处理去除氧官能团后,发现较窄的微孔(尺寸<0.7nm)是苯吸附能力的显著指标。Liu等[53]提出了通过原位冷冻法(液氮)研究VOCs吸附行为的方法,揭示了甲苯浓度对活性炭孔径需求的显著影响。当甲苯浓度低于0.3765g/m3时,孔径小于1.1nm的活性炭微孔对吸附起主导作用;而当甲苯浓度超过3.765g/m3时,孔径在1.2~5nm范围的中孔对吸附贡献显著增大。
由于VOCs在活性炭的中孔内扩散较微孔内快,中孔对VOCs的吸附速率高于微孔对VOCs的吸附速率,因此相较于微孔特征的活性炭,微孔、中孔、大孔都有一定分布的孔活性炭在VOCs吸附上具有更大的优势[54]。Troppová等[55]认为对VOCs吸附量较高的活性炭,最优选择不是微孔活性炭,而是具有中度孔隙率、适宜孔径分布的活性炭。Tsai等[56]比较了几种VOCs在不同活性炭的吸附动力学曲线,发现VOC在中孔活性炭和生物质活性炭上的扩散系数为10-5~10-4cm2/s,高于在微孔活性碳纤维上的扩散系数(10-8~10-7cm2/s)。相似地,Wang等[57]发现VOCs的扩散速率常数在有序介孔炭中几乎是微孔活性炭中的2倍。
许多学者认为孔径分布与分子动力学直径之间存在较强的相关性。Zhang[58]等计算了环己烷吸附能力与不同孔径分布的孔隙体积相关系数,认为孔径分布主导了VOCs的吸附。Liu等[59]认为吸附剂的平均孔径应接近目标VOCs的分子动力学直径,促使吸附质和吸附剂之间产生强烈的相互作用。此外,大尺寸VOCs的吸附能力较低。分子模拟研究发现,具有较大微孔和中孔的活性炭有利于VOCs的吸附。Wang等[60]认为在常温常压下多种VOCs的最佳吸附孔径存在差异,其中甲烷的最佳吸附孔径为0.7~0.8nm、乙烯为0.7~1.2nm、丙烷为0.7~1.6nm,同时通过实验验证了2~4nm的中孔具有通道效应,这对VOCs吸附起到重要作用,这也与其他学者研究的结论相吻合[42,61-62]。
从VOCs在活性炭表面的吸附机制中可以发现,VOCs分子直径(d)与活性炭孔径(D)之间存在一定相关性。大量学者提出并验证了在吸附过程中,吸附剂的孔径需与吸附质的几何尺寸相匹配,活性炭中吸附效率高的孔尺寸为吸附质尺寸的1.7~3.0倍[16-18]。
2.3 表面化学特性
炭材料吸附剂的非极性特征不可避免地限制了其对极性VOCs的吸附。吸附剂对极性VOCs选择性的提升,可通过表面官能团、杂原子、缺陷引起的化学吸附实现。因此,调控活性炭表面化学特性,可提高活性炭的吸附性能,特别是对极性VOCs的选择性[63]。图2所示为常见的活性炭表面官能团结构。
含氧官能团是大多数活性炭表面酸性的来源,这有助于极性VOCs结合到活性炭表面[64]。通常通过酸处理等氧化手段将含氧官能团引入活性炭。例如,经过H3PO4改性后,活性炭表面上存在更多的含氧官能团,对甲醇、乙醇和异丙醇的吸附量大大提高[65]。Liu等[66]制备了两种含有相似的孔隙结构和表面积,但表面含氧量明显不同的活性炭,其中含氧官能团更多的样品有着更高的甲醇和丙酮吸附能力(分别为13.78mmol/g和4.47mmol/g)以及更高的选择性。
含氧官能团可能会削弱非极性VOCs与炭材料表面π电子区域之间的相互作用[67]。因此,非极性VOCs更倾向于吸附在没有表面官能团的活性炭表面。Zhang等[64]发现,与未改性的活性炭相比,所有酸改性活性炭的邻二甲苯吸附能力都较低。同样,与原始生物质活性炭相比,酸活化生物质活性炭对苯和四氯化碳吸附能力较低[68]。为了提高活性炭对非极性VOCs的吸附性能,需要对其进行适当的改性,以消除表面的含氧基团。
杂原子掺杂是一种有效调节活性炭表面特性的方法,目前多种杂原子如氮、氧、磷、硼和卤素等已被研究者们引入活性炭中。根据不同杂原子的种类及其在材料中的状态,多孔材料的性质会有所变化,表现为酸碱性、亲水性或疏水性、氧化还原性、表面极性等。
氮原子与碳原子的直径接近,因此氮原子取代部分活性炭骨架中的碳原子时,材料结构不会剧烈畸变,相对于其他原子如金属元素的取代更容易进行。当氮元素进入活性炭的纳米结构时,会导致碳层之间的石墨结构出现位错、弯曲或位移等缺陷,这些缺陷通常带有不成对电子。此外,氮原子在活性炭表面形成局部官能团,其孤对电子也能为碳的sp2杂化结构的π电子体系提供负电荷,这有助于提高导电性。因此,引入氮元素不仅能够调节活性炭的形态和结构,还能影响其化学性质,从而提高其反应活性。部分研究表明,活性炭中氮的含量直接影响其对挥发性有机化合物的吸附性能。Su等[69]通过密度泛函理论计算发现,活性炭中的氮官能团对甲苯吸附具有π-π色散相互作用。然而,迄今为止很少有实验结果表明活性炭中含氮量对VOCs吸附起促进作用。
2.4 形状
活性炭的尺寸、形状(粉状、柱状、无规则颗粒状、球形、蜂窝状等)可导致实际工业应用中传质效率、床层压降等存在差异,并且还有可能对其内部孔隙结构的分布状况和可及性产生影响。活性炭的尺寸和形状也可以通过粉碎、成型等手段进行调整。
柱状活性炭以其床层压降低、运输处置方便、适于集中再生等优点而广泛运用于VOCs吸附净化。柱状活性炭相较于粉末形和无定形颗粒状形式,在尺寸和密度的调控上具有更大的灵活性。蜂窝状活性炭的研制最早见于日本的报道,具有开孔率高、压降低、抗粉尘堵塞能力强的优点[70]。特殊的蜂窝状结构使得吸附过程中VOCs与活性炭表面充分接触,可以更好地截流污染物[71]。
已有研究证明球形活性炭具有更均匀的孔隙结构和更高的比表面积,对VOCs有更大的吸附能力[72-73]。相反,不规则的形状会降低其比表面积和吸附能力[74]。此外,Liu等[75]制备了三叶草形活性炭,与具有高度相似特性的柱状活性炭进行多组分VOCs吸附性能对比,结果表明三叶草形活性炭的内部空隙率降低27.46%,外部空隙率提高了39.10%,堆积也更致密,与VOCs的接触时间更长。吸附穿透时间平均延长40%,单位体积饱和吸附量提高20%,同时具有较高的分配系数。
图2活性炭表面含氧、含氮官能团结构[63]

活性碳纤维分纤维、毡、布、纸等多种形态,在工程应用方面有一定优势。其微孔直接位于纤维表面,显著缩短了吸附质扩散路径,且具有较大的比表面积和均匀的微孔结构[76-82]。相比传统活性炭,活性碳纤维吸附小分子物质时展现出更快的吸附速率和较高的效率,并且易于解吸。纤维状结构增加了与吸附质的接触面积,确保了材料的充分利用。由于微孔短且直,活性碳纤维在吸附动力学上优于活性炭,是处理VOCs的优选材料。Wee等[83]通过混合使用颗粒活性炭/活性碳纤维混合介质来实现低压差下高VOCs吸附性能。
2.5 活性炭吸附VOCs的机理
VOCs在活性炭表面的吸附过程分为三个阶段:首先,VOCs分子从气相扩散至活性炭表面,此过程受气体浓度影响显著;其次,VOCs分子扩散至微孔中,扩散速率由孔径分布决定;最后,VOCs分子在微孔内被吸附并达到平衡。整个过程的速率通常由颗粒扩散或微孔吸附机制限制,具体机制包括范德华力、π-π相互作用、氢键作用及静电相互作用等。通过调控活性炭的孔隙结构和表面官能团,可有效优化吸附效率和选择性。
从微观层面来看,物理吸附由浓度或压力梯度产生的分子间作用力如范德华力等弱相互作用所驱动,通常是一个可逆的单层或多层吸附过程。化学吸附则涉及吸附剂与吸附剂表面之间的化学键,是一个不可逆的过程。在范德华相互作用的基础上,化学官能团影响VOCs与活性炭之间的静电和色散相互作用,π-π色散相互作用和氢键都是影响化学吸附能力的关键。因此,要揭示典型VOCs的吸附性能,需要考虑活性炭的孔隙性质特征、化学官能团特征与VOCs特征之间的平衡。图3为VOCs在活性炭表面吸附机制示意图。
活性炭通常具有疏水、非极性的表面特性,VOCs分子的极性直接影响其在活性炭表面的吸附。对于非极性和弱极性分子,更倾向于吸附在非极性的活性炭表面;极性分子与存在含氧官能团和无机杂质的极性活性炭表面,由于吸附剂与极性VOCs之间的偶极-偶极相互作用,分子间势能可能降低,会结合得更加紧密[85]。多组分VOCs吸附过程中,对吸附剂亲和力较强的分子会在一定程度上取代亲和力较弱的分子[86-88]。除此之外,吸附剂通道结构、缺陷和禁闭效应也将对与这些相互作用相关的选择性和强度产生重大影响[89-92]。
总的来说,吸附过程是一个涉及多种物理和化学作用的复杂现象,其效率和选择性受到吸附质分子结构、极性、沸点等以及吸附剂的孔隙结构、表面特性的显著影响。尽管目前已有许多学者对VOCs吸附机制展开研究,但实际工业过程中遇到的复杂环境(包括细粉尘、高沸点、含硫/氮挥发性有机化合物)将大大降低VOCs的去除效率,相关机制研究较少,特别是对吸附VOCs后界面变化机制的研究也尚未深入。
3 生物质基活性炭的定向制备
活性炭的定向制备,即根据特定应用需求,设计具有特定孔隙结构、表面化学性质、物理形状等的特定活性炭,并通过精确控制工艺过程和参数生产出活性炭产品的过程。在VOCs吸附净化应用领域,定向制备技术通过调控生物质活性炭的孔隙结构、表面化学性质和几何形状,实现对目标污染物的高效吸附。
图3 VOCs在活性炭表面吸附机制[84]

生物质基活性炭的定向制备涉及原材料选择、炭化与活化工艺、表面改性及成型等方方面面,尽管取得了一定的进展,但仍存在诸多挑战。
3.1 原材料选择
生物质的种类在很大程度上决定了活性炭材料的性能,原料会通过影响生物质活性炭的物理化学特性来影响污染物的去除性能和机制。常用的原料包括植物、动物和污泥等。如图4所示,不同生物质热解后的炭化料性质迥异。
动物源生物质是指来源于动物的有机物质,如粪便、皮毛、骨骼等。其优势在于如骨头、甲壳动物富含的碳酸钙(CaCO3)和羟基磷灰石等在热解过程中可以形成中孔模板,同时蛋白质和甲壳质热解生成了大量的含氮、磷的表面官能团。Yang等[94]以龙虾壳、鸡骨头为原材料,制得高比表面积(1405m2/g)和大孔容(0.97cm3/g)的氮掺杂分层多孔结构,对甲苯的吸附量为288mg/g。Zhao等[95]以蜈蚣为原材料,用磷酸活化制备的生物质活性炭具有分层孔隙结构,比表面积868m2/g、总孔容0.87cm3/g、中孔孔容0.236cm3/g。与植物源生物质相比,动物源生物质在资源量上存在局限性,其收集和处理过程也更为复杂,成本也相对较高。这些因素共同限制了动物源生物质在大规模生产和加工利用方面的应用。
图4不同生物质热解后生物质炭化料的物理化学性质[93]

来自植物的生物质活性炭通常比其他原料具有更大的比表面积和更好的孔隙结构,这主要是由于植物中含有的木质素和纤维素的挥发性。不同植物来源的生物质,其化学成分包括纤维素、半纤维素及木质素的比例及其分子间的交织结构,都会对活性炭的最终结构产生影响。如表2所示,使用相同的制备方法时,玉米秸秆来源的活性炭比表面积可以达到1274m2/g,而小麦杆茎来源的活性炭比表面积则较小,仅为778m2/g[39];不同的原料中,二氧化硅等物质的含量也会显著影响活性炭的孔隙结构,例如稻壳[106]中具有丰富的二氧化硅,形成了独特的骨架,赋予活性炭多级孔结构,这种结构在气体吸附中具有较大的优势;此外,生物质原料的微量元素含量差异也会对活性炭的制备和性能产生不同程度的影响,特别是生物质源的地理差异,土壤中的矿物质组成以及金属元素的分布都会影响最终活性炭的性质。因此,选择合适的原料对于活性炭的制备至关重要。
许多学者针对生物质化学组成(纤维素、半纤维素和木质素)对活性炭的组成、结构的影响进行了探究[107-110]。Deng等[111]将不同比例的纤维素、半纤维素和木质素混合,来探究制备的炭材料性质。在活性炭的制备过程中,半纤维素更倾向于形成微孔,而木质素则更有可能生成介孔和大孔结构,纤维素制备的活性炭更易产生微孔和介孔结构。活性炭产量随着生物质中木质素含量的增加而增加,但高木质素含量会降低生物质活性炭的多孔结构[112]。Zhou等[113]认为半纤维素含量是生物质活性炭高孔隙率和丰富微孔的主要因素,高半纤维素含量使得活性炭表面具有更丰富的—COOR,能够促进孔隙的形成,从而增加活性炭的孔隙度。
表2生物质活性炭针对典型VOCs的吸附特性

从收集和处理过程、经济效益、资源利用等角度综合考虑,综合生物质热解性质,用于制备活性炭的生物质各有优劣。木质材料如木材、木屑来源广,能形成丰富孔隙、吸附性强的活性炭,其应用广泛,但成本可能较高,更适宜食品和医药等高附加值领域;农业废弃物如稻壳、玉米芯量大成本低,但得率相对较低,品质稳定性差;竹材作为草本植物,长周期短、产量高、成材快,有广阔市场前景,不过目前产量相对有限;果壳类中椰壳活性炭微孔结构发达、吸附性能好,在饮用水净化和空气净化方面表现出色,但原料品质受地域限制。此外,为了减少杂质影响并提高活性炭的品质,生物质在制备活性炭前往往需要进行粉碎、清洗、干燥等预处理。这些预处理步骤不仅增加了生产成本,还可能消耗大量的能源和水资源。例如,对木质生物质进行预处理时,粉碎过程需要消耗大量电能,清洗过程会产生大量废水。
从原料选择的角度入手,结合原料的化学组成和结构特性,合理预测所制备活性炭的孔径分布,可实现对孔道结构的精准调控。这种方法为优化吸附性能提供了科学依据,有助于制备满足特定应用需求的高效吸附材料,从而提升活性炭在复杂VOCs治理中的实际应用效果。
3.2 生物质基活性炭孔结构的调控
3.2.1 原材料预处理
适当的预处理可以有效调节生物质活性炭的孔径。通过改变预处理条件和工艺,可以改变和控制生物质的多孔质地,从而在制备前体阶段调控活性炭生产过程中的性能变化。目前国内外对此的研究尚少。常见的预处理方式如酸、碱浸渍预处理[114-116]可清除前体中的灰分、扩大原有的孔隙,同时产生新的孔隙结构。
微生物处理也是有效的调控方式。Cheng等[117-118]通过调控微生物对木质素的分解程度,来控制活性炭材料中孔的组成分布。Liu等[119]通过管状曲霉预处理分解生物质中的纤维素,增强前体的活化作用,有利于形成分级孔隙。Deng等[120]通过物理手段对椰壳进行冷冻预处理获得了更宽的平均孔径(3.35nm)、更大的比表面积、更高的比电容/功率性能的活性炭,Yang等[121]通过蒸汽爆破预处理获得了高孔隙率和高比表面积的生物质活性炭。目前相关研究还较少,缺乏对预处理机制的系统总结。
3.2.2 生物质的炭化过程
生物质可通过热解和水热炭化转化为炭材料。热解在无氧条件下进行,温度300~900℃不等[122]。在热解过程中有固体、液体和气体三相产物生成。固体和液体分别称为生物质活性炭和生物油,气体被称为热解气,通常含有二氧化碳、氢气和一氧化氮。热解包括快速、慢速和中速三种方式,慢速热解停留时间长,活性炭产率高[123]。Ip等[124]发现,以1℃/min升温制备的竹炭比表面积(2123m2/g)和吸附性能高于5℃/min升温制备的(1337m2/g)。
Liang等[125]研究表明,随热解温度增加,竹炭灰分增多,碳含量稳定(71.19%~78.41%),比表面积和孔容积在700℃时达到最大。相比之下,快速热裂解制备的竹炭比表面积为113.4m2/g,表现出明显差异[126]。Park等[127-128]总结了生物质中3种组分的分解温度,分别是半纤维素200~260℃、纤维素240~350℃及木质素600℃以上。
Oyedun等[128]采用热分析仪分析了竹炭化过程机理,分为四个阶段:第一阶段在160℃以内,主要是游离水分脱除;第二个阶段发生在150~260℃,这一阶段失重主要来自半纤维素的分解;第三个阶段是260~500℃,此时纤维素迅速降解,且由于其高的占比和丰富的挥发性成分,这一阶段的质量损失最大,也伴随着木质素开始分解;第四个阶段是500℃以上,失重率明显减小。图5是生物质的结构随着温度变化的演化过程。
水热炭化过程是一个典型的放热过程,通过脱水和脱羧反应减少原料中的氧和氢,从而提升碳含量,最终达到炭化效果[130]。在该反应中,半纤维素在约180℃开始水解,纤维素水解大多发生在210℃左右,而木质素则在大约260℃时分解为酚类及其衍生物。Chen等[131]通过柠檬酸添加条件下竹子的水热处理和KOH活化制备了具有不同性质的活性炭材料。Qiu等[132]以竹屑为原料,用不同浓度的FeCl3溶液催化水热炭化获得富含微孔和中孔结构的活性炭。水热法的优势在于操作简单、温度要求低,同时制备的活性炭表面官能团丰富。然而,这类材料普遍存在热稳定性差、氧含量高等问题,并且通常需要额外的后处理步骤,这在某种程度上限制了其大规模应用。
3.2.3 活化过程
制备活性炭的常用方法有物理活化法和化学活化法。物理活化法主要是对经过高温炭化的炭前体,以氧化性气体(例如二氧化碳、水蒸气等)在高温热蚀的过程中在表面选择性地发生活化反应,形成不均匀的孔隙结构。作为一种成熟的活性炭制备工艺,物理活化法污染小且更加环保,但存在活化时间长以及难以控制孔径均匀分布等问题。化学活化法多为一步法,将活化剂如KOH、ZnCl2等与炭前体混合后在惰性气氛中高温加热,同时进行炭化活化。化学活化法通常应用于H、O元素含量较高的材料,例如木材、椰壳等,相比于物理活化法,化学活化的优势是可以在较低的炭化温度、较短的时间内,获得高性能的活性炭。Deng等[133]通过KOH活化从竹子中合成高比表面积(>3000m2/g)的颗粒活性炭。Silva等[134]通过H3PO4激活从香蕉树假茎中获得了高比表面积的活性炭纤维(1975m2/g)。然而,化学活化法所需的后续酸处理疏通孔隙,以及化学试剂所带来的设备腐蚀和环境污染问题,都为其工业化应用带来了更高的成本。
图5基于炭结构演化的生物质热解机理[129]

热解自活化技术通过在密闭反应器中进行高温、高压热解处理来激活炭前体,无需额外添加活化剂。此方法利用原料在热解过程中释放的水蒸气与二氧化碳,形成气氛来促进活化,同时反应器内的内生压力加速了气固反应的发生,极大提高了微孔的比率。Gao等[135]运用热解自活化法在热解温度1100℃下以竹笋壳为原材料制备的活性炭比表面积可达1855m2/g,总孔容达1.22cm3/g。Cheng等[136]利用玉米秸秆和小球藻混合物的协同热解活化后得到的活性炭比表面积为2568.6m2/g,孔容为1.48cm3/g。
3.3 生物质活性炭表面调控技术
已有大量研究表明,通过酸碱处理、化学氧化以及接枝等方法,可以有效改善生物质活性炭表面的理化特性,进而提升其吸附能力。在活性炭制备过程中,脱灰、活化等步骤常涉及化学试剂的使用,如强酸、H2O2、KMnO4及臭氧等。这些试剂能够引入丰富的含氧官能团,不仅增强材料的吸附能力,还可优化其表面特性。化学改性还可以增强生物质活性炭与芳香性有机污染物之间π-π共轭电子相互作用力,从而增大对芳香族有机污染物的吸附。热处理和碱改性是两种常用去除表面含氧官能团的方法。据报道,表面官能团在高温下会分解,如羧基在150~300℃分解,酸酐和内酯在300~500℃分解,醚、酚羟基及羰基化合物在500~800℃分解[137-138]。500℃以上热处理可分解含有O和H的官能团,使生物质活性炭的表面极性降低,亲水性增强,直接影响VOCs的吸附[139]。碱改性是另一种去除表面含氧官能团的有效方法,NH3H2O改性后邻二甲苯的吸附量提高了26.5%[64]。虽然化学改性能有效提升生物质活性炭的吸附能力,但高昂的成本和由此产生的废酸及废液问题限制了其广泛应用。此外,化学湿法改性方法存在不经济、改性效果不显著,或易产生二次污染等问题,亟需新的改性技术。
与化学改性相比,研究发现利用光化学方法在某些高分子材料表面引入含氧官能团,可以有效提升其性能。对于生物质活性炭来说,采用这种表面修饰方法有望增强其对气体分子的吸附能力。目前,254nm波长的紫外光是紫外光接枝中最常用的光源,然而也有学者发现,使用长波紫外光(如365nm)同样能取得良好效果。此技术通过紫外光诱导单体在表面的聚合反应,从而促进极性基团(如羧基)的形成[140-142]。
3.4 成型工艺
实际工业VOCs吸附过程中由于床层压降、运输等问题,需要使用成型活性炭。大致工艺流程如图6所示。
与未经过热解的生物质相比,经过热解处理后的炭化物表现出明显的特性变化,包括水分和挥发分的减少,纤维结构在高温下遭到破坏,同时形成更多的孔隙。热解不可避免地改变了生物质活性炭成型过程,甚至阻碍生物质活性炭颗粒的聚集,降低颗粒间的黏结力,因而导致生物质活性炭难以成型。与此同时,成型过程很大程度上影响着活性炭的强度,黏结剂/助剂的选择、成型压力、后续处理时间、炭化温度等都是重要的工艺参数。
其中,黏结剂对于能否成型以及成型炭的机械性质有着巨大的影响。工业化生产使用黏结剂要求能满足成型工艺条件,且对孔隙结构无负影响;活性炭易获得、成本低;生产过程中不造成额外的污染。目前,对于黏结剂的选取主要是参照煤基活性炭成型工艺上所采用的黏结剂。
常见的黏结剂可以分为有机、无机及有机-无机复合三类,其中有机类黏结剂通常具有较强的黏结效果,且成型后的炭材料具有较高的机械强度。然而,这类黏结剂在高温环境下容易分解,热稳定性较差,并且部分黏结剂具备吸水特性,成型炭在存储过程中可能发生性质的改变。Wang等[143]通过聚合对竹焦油进行改性,并作为新型黏结剂,用于制备优异的竹成型活性炭。与原始焦油和其他黏结剂相比,苯酚芳构化的焦油增加了其分子量、含氧官能团和热稳定性,从而减少了孔的堵塞,改善了炭化材料颗粒之间的黏结和热解交联效果。
无机黏结剂的优势之一是其来源多样且成本较低。此外,经过成型后,材料表现出良好的防水性和较强的热稳定性。然而,无机类黏结剂成型后会增加活性炭的灰分含量,同时部分堵塞孔道,进而显著降低活性炭的吸附容量。
至今,关于如何合理配比有机与无机黏结剂,以及添加这些黏结剂后如何影响活性炭的机械性能仍未有明确的结论。此外,黏结剂对生物质活性炭成型过程的作用和对最终性能的影响尚不清楚,且缺乏关于黏结剂与炭化物质相互作用机制的深入探讨。这些不明确的因素严重制约了黏结剂的选择,进而影响了成型工艺的优化和发展。
3.5 经济效益
要实现生物质活性炭在大规模工业中的广泛应用,必须综合考虑其经济性和可再生性。生物质活性炭的原料来源广泛,成本相对较低,且其生产过程可以通过低温热解等技术高效进行,具备良好的资源化利用潜力。有学者对生物质活性炭进行技术经济分析,提出工艺、工厂容量、原料选择、物流供应和工艺参数的优化设计都是重要的影响因素[144-145]。同时,生物质活性炭的再生性能也是推动其工业应用的关键因素。通过适当的再生技术,如热再生或溶剂再生,活性炭可以多次使用,显著降低其使用成本,提高经济效益。
4 结语与展望
挥发性有机化合物(VOCs)是我国大气污染的重要成因。作为一种低成本且高效的吸附材料,活性炭在VOCs治理中发挥着不可替代的作用。本文整理了含VOCs工业有机废气的排放特征及典型VOCs分子物性,梳理了活性炭的孔隙结构、表面化学特性及几何形态与吸附性能间构效关系的研究现状,并聚焦于生物质基活性炭的制备工艺及其优化方向。从研究现状来看,活性炭的吸附性能高度依赖材料的结构特性。孔隙结构与分子尺寸的匹配决定了吸附效率,而表面化学特性的调控能够显著提高其对极性和非极性VOCs的选择性。生物质活性炭以其资源丰富、可再生及环境友好的特点,展现出替代传统煤基活性炭的巨大潜力。然而,实际应用中生物质活性炭仍存在吸附剂性能优化不足、定向制备技术复杂及工业化成本较高等问题。未来的研究需要在以下几个方向深入探索。
图6成型活性炭制备工艺流程

(1)材料定向设计与智能优化。利用大数据和机器学习技术,深入挖掘VOCs成分特征与吸附需求之间的内在联系,实现活性炭孔隙结构与表面化学特性的精准设计。根据不同工业场景的具体需求,定制具有高效吸附性能的材料,提升吸附剂对特定污染物的去除效率,为工业废气治理提供更具针对性的解决方案。
(2)吸附机理的深入研究。借助先进的表征技术与分子模拟手段,探索吸附过程中活性炭表面与VOCs分子之间的微观相互作用机制,尤其是针对多组分VOCs在复杂环境中的竞争吸附行为进行研究,明确各种因素对吸附过程的影响规律,为吸附剂性能优化提供坚实的理论依据,推动吸附技术的进一步发展。
(3)绿色可持续制备工艺。聚焦于优化生物质活性炭的炭化与活化工艺,积极开发低能耗、低污染的改性方法。例如,采用可降解的活化剂,以减少化学试剂对环境的污染;引入生物催化技术,降低制备过程中的能源消耗,推动生物质活性炭制备过程的绿色化,减少对环境的负面影响,促进可持续发展。
(4)工业化应用的规模拓展。通过技术创新降低生产成本,研究生物质活性炭在大规模工业应用中的经济性和再生性能,探索与其他治理技术的联合应用,以实现资源化利用和经济效益的最大化。
总之,生物质基活性炭在VOCs治理中的研究具有广阔的应用前景。通过深入理解其吸附机理与性能优化路径,并结合智能化设计与绿色制备工艺,有望推动其在环境保护领域的广泛应用,为实现“碳中和”目标提供有力支撑。

